上海中科新生命生物科技有限公司

18

手机商铺

qrcode
商家活跃:
产品热度:
  • NaN
  • 0.5
  • 1.5
  • 0.5
  • 3.5

上海中科新生命生物科技有限公司

入驻年限:18

  • 联系人:

    杨小姐

  • 所在地区:

    上海 闵行区

  • 业务范围:

    技术服务

  • 经营模式:

    生产厂商 科研机构

在线沟通

公司新闻/正文

Nat Commun | 牛津大学陈铮鸣等携手中国CKB队列研究炸场!血浆蛋白实测数据揭晓Olink和SomaScan谁更胜一筹

937 人阅读发布时间:2025-03-24 16:30

新闻图片1 蛋白质组学技术革新推动了精准医疗的发展,血浆蛋白检测也在疾病机制解析、风险预测及药物靶点评估中发挥着关键作用。目前基于邻位延伸的Olink和基于适配体的SomaScan高通量靶向蛋白组检测平台最高可实现5000+和11000+蛋白检测,已成功用于人群研究中pQTLs和疾病标志物发现。但一些欧洲人群小型队列研究发现,不同平台对同一蛋白的测量相关性较低、表型关联存在差异。所以当下亟需更大规模、多维度(遗传/表型)的直接比较研究,以优化生物标志物发现和临床应用。 近日,来自牛津大学陈铮鸣教授团队联合Iona Y. Millwood团队以Olink Explore和SomaScan所检出的2168种血浆蛋白评估了两种高通量靶向蛋白质组学平台在中国慢性病前瞻性CKB队列研究中的分析性能。结果表明,尽管两个平台测量的蛋白质水平相关性中等,但在识别与肥胖和缺血性心脏病风险相关的蛋白质方面具有互补性,这些结果为未来大规模蛋白质组学研究设计提供了重要信息。 新闻图片2    


 
 实验设计
1. 样本选择: 中国慢性病前瞻性研究CKB队列的3976名样本,其中包括1951名新发冠心病(IHD)患者和2025名对照组个体。所有样本均为成人,无既往心血管病史,且在基线调查时采集了详细的生活习惯、临床指标和体检数据。 2. 检测平台: 使用Olink Explore 3072平台(2923个试剂对应2923个UniProt ID)和SomaScan Assay v4.1平台(7301个SOMAmers,对应6397个UniProt ID)分别测量血浆蛋白表达水平。


 
 研究结果
结果1:Olink与SomaScan平台蛋白质检测比较汇总 结果2:Olink与SomaScan的相关性影响因素分析 结果3:蛋白质与BMI及IHD的关联分析 结果4:IHD风险预测模型性能 


 
 研究结果
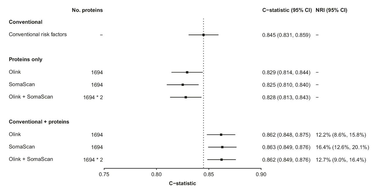
1. Olink与SomaScan平台蛋白质检测比较汇总 该研究采用了中国慢性病前瞻性研究CKB队列的3976名样本,其中包括1951名新发冠心病(IHD)患者和2025名对照组个体,使用Olink Explore 3072平台和SomaScan Assay v4.1平台测量样本的血浆蛋白表达水平。在剔除重复试剂和无映射UniProt ID的试剂后,Olink Explore 3072保留了2923个reagents并比对获得了2923个UniProt ID,SomaScan Assay v4.1保留了7301个SOMAmers并比对获得了6397个UniProt ID,最终获得2749对Olink-SomaScan试剂对,包含2168个蛋白,其中有1694个蛋白是1对1匹配的。 新闻图片3 图1 研究设计、分析方法和关键发现总结   2. Olink与SomaScan的相关性影响因素分析 通过对比Olink与SomaScan平台对蛋白质水平的检测,发现2749对试剂的Spearman相关系数中位数为0.29。在1694对一对一匹配的蛋白质中,相关性分布相似(中位数0.26)。Boruta特征分析表明,高蛋白丰度、高数据质量(低检测限以下样本比例及质控警告率)、负偏态及低峰度分布与平台间高相关性相关,而UniProt和GO注释特征无显著预测性。全基因组关联研究(GWAS)鉴定出Olink和SomaScan分别有765个(45.2%)和513个(30.3%)蛋白质存在顺式pQTLs,其中400个具有共定位顺式pQTL,同时也鉴定到705个(41.6%)Olink蛋白和723个(42.7%)SomaScan蛋白携带反式pQTL,共定位顺式pQTL的蛋白具有较高的平台间相关性(中位数 = 0.72)。此外,研究发现了由于较小的等位基因频率(MAF)差异而未在其他人群中报道的pQTL(如ALDH2、PLA2G7和PCSK9),其中部分变异与已知功能位点存在连锁不平衡,凸显了人群遗传异质性对蛋白质定量研究的影响。 新闻图片4 图2 Olink和SomaScan平台的检测相关性、相关因素和pQTL比较   3. 蛋白质与BMI及IHD的关联分析 研究分析了Olink与SomaScan平台检测的蛋白质与肥胖(BMI)及缺血性心脏病(IHD)的关联。结果显示,BMI与1096个Olink蛋白和1429个SomaScan蛋白显著相关(FDR<0.05),974个共有蛋白质中859个(88.2%)蛋白在平台之间显示共享关联;另外两个平台共定位顺式pQTLs的400种蛋白质,251个(62.8%)蛋白与平台之间的BMI有共同的关联。IHD方面,79个(16.4%)Olink蛋白和154个(9.1%)SomaScan蛋白与缺血性心脏病的发生风险显著相关(FDR<0.05)。Olink和SomaScan中与缺血性心脏病显著相关的78个蛋白显示共享关联。 新闻图片5 图3 与BMI和缺血性心脏病发生风险显著相关的蛋白质数量及其在Olink和SomaScan平台之间的效应大小   4. IHD风险预测模型性能 基于1694种一对一匹配蛋白质构建IHD风险预测模型,Olink(C=0.829)与SomaScan(C=0.825)性能相近但略低于传统风险模型(C=0.845)。添加蛋白质后传统模型C值提升至0.862(Olink)和0.863(SomaScan),显示蛋白质数据的加入显著提升了IHD风险预测的准确性,并且两平台在风险预测中的NRI分别为12.2和16.4%。总的来说,整合蛋白质组学可优化IHD风险评估,但多平台联合应用未体现显著互补优势。 新闻图片6 图4 Olink和SomaScan平台预测IHD事件性能比较


 
总结
本文在大规模中国人群中比较了Olink和SomaScan平台测量血浆蛋白水平的效用。结果表明,尽管两个平台测量的蛋白质水平相关性中等,但在识别与肥胖和缺血性心脏病风险相关的蛋白质方面具有互补性。这些结果为未来研究的设计和解释提供了重要信息,并展示了这些平台在精准医学中的应用潜力。


    中科优品推荐 【中科新生命】SomaScan P7K/P11K,开启血液万级蛋白质组检测新纪元!突破血液蛋白质组检测限制,深、稳、准三位一体检测,为血液蛋白标志物发现和临床转化创造新的机遇,欢迎感兴趣的老师前来咨询。
 

上一篇

Nat Med | 贫穷催人老?万人队列Somascan血浆蛋白组研究实锤:社会弱势加速衰老并增加疾病风险

下一篇

Nat aging(IF 17.0) | 复旦大学团队揭示肠菌产物PAGln启动细胞衰老新机制并提出干预措施

更多资讯

我的询价