上海中科新生命生物科技有限公司

18

手机商铺

qrcode
商家活跃:
产品热度:
  • NaN
  • 0.5
  • 1.5
  • 0.5
  • 3.5

上海中科新生命生物科技有限公司

入驻年限:18

  • 联系人:

    杨小姐

  • 所在地区:

    上海 闵行区

  • 业务范围:

    技术服务

  • 经营模式:

    生产厂商 科研机构

在线沟通

公司新闻/正文

Nat Med|减肥神药再显神威:揭秘司美格鲁肽如何通过"代谢-炎症-纤维化"三重通路改善“脂肪肝”

2701 人阅读发布时间:2025-08-11 17:22

新闻图片1 代谢功能障碍相关脂肪性肝炎(MASH)与慢性炎症相关,进一步可能进展为肝硬化和肝细胞癌。近年来,“减肥神药”——司美格鲁肽因其在降糖和减重方面的卓越效果而声名大噪。临床研究发现,司美格鲁肽可以有效改善MASH患者的肝脏病理指标。然而,它仅仅是通过减轻体重来间接“解救”肝脏,还是藏着更直接的“秘密武器”? 2025年7月,Nature Medicine杂志上发表了题为"Modulation of metabolic, inflammatory and fibrotic pathways by semaglutide in metabolic dysfunction-associated steatohepatitis "的研究成果,利用SomaScan平台对MASH患者的血清样本进行蛋白质组学分析,确定了72种与MASH改善显著相关的蛋白质,发现司美格鲁肽可能主要通过减重来缓解MASH,但也可以直接影响肝脏组织的代谢和炎症途径缓解MASH, 为疾病的精准诊疗开辟了新路径! 新闻图片2  


 
研究队列
队列一:320名经组织学证实的MASH患者,随机分配接受司美格鲁肽或安慰剂治疗72周; 队列二:哥本哈根MASLD队列(CoCo-MASLD),其中包含了146名MASH患者和89名健康志愿者; 队列三:饮食诱导的肥胖MASH小鼠模型(DIO-MASH)、胆碱缺乏氨基酸高脂小鼠模型 (CDA-HFD)。


 
 技术路线
步骤1:司美格鲁肽改善MASH不仅仅依靠减重; 步骤2:司美格鲁肽具有独立的抗纤维化作用—小鼠模型; 步骤3:司美格鲁肽逆转MASH的蛋白特征;


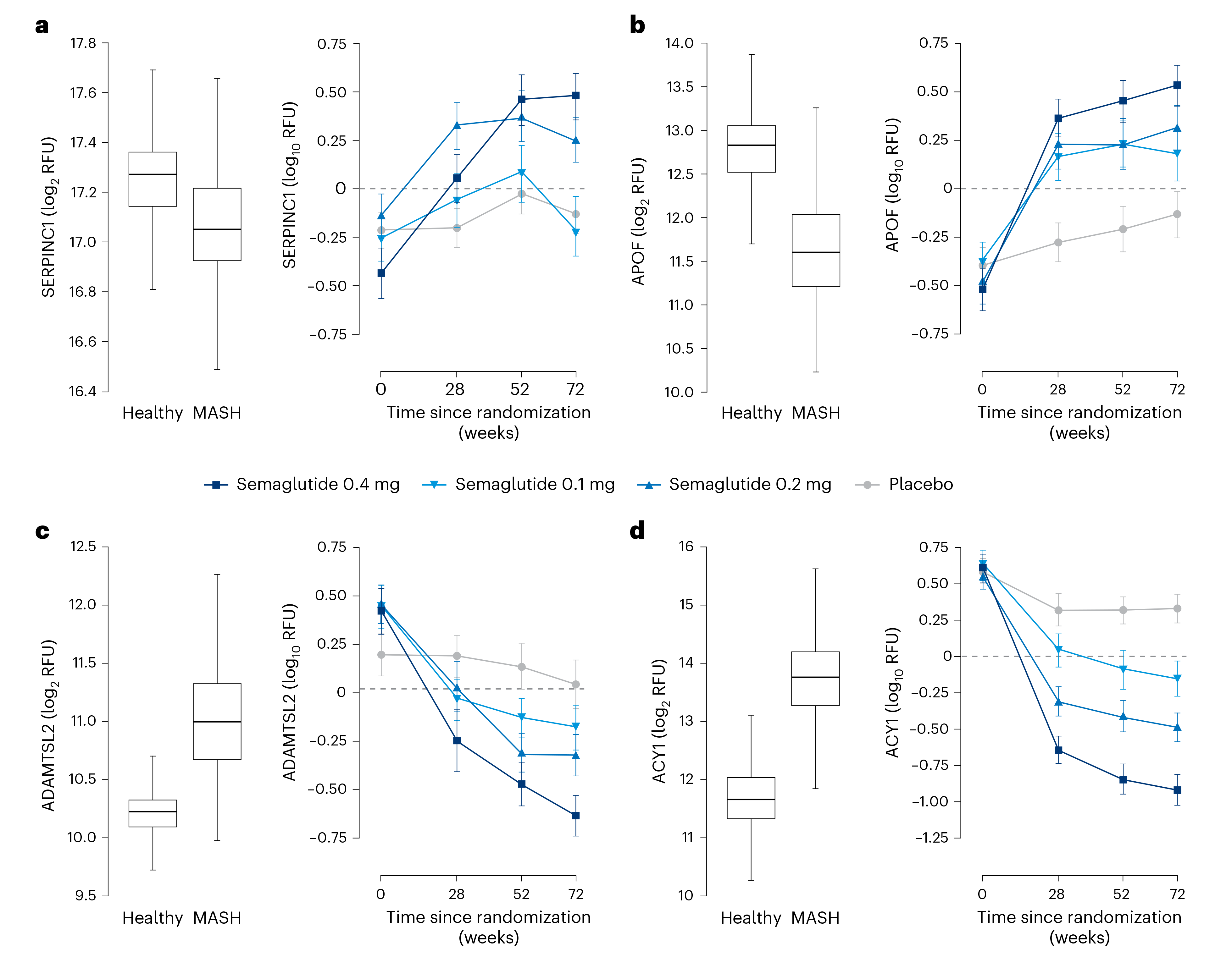
   研究结果 1. 司美格鲁肽改善MASH不仅仅依靠减重  与安慰剂相比,司美格鲁肽治疗组体重显著减轻(13% vs 1%),脂肪性肝炎消退率更高(59% vs 17%)。中介分析发现体重减轻是MASH消退的主要中介因素,但在肝纤维化改善方面并未发挥显著作用,表明体重减轻以外的其他因素也可能直接或间接的改善肝脏纤维化。 新闻图片3 图1 司美格鲁肽改善MASH不仅仅依靠减重   2. 司美格鲁肽具有独立的抗纤维化作用—小鼠模型 为了进一步明确司美格鲁肽的抗纤维化机制,该研究利用司美格鲁肽分别治疗饮食诱导的肥胖MASH小鼠模型(DIO-MASH)和胆碱缺乏氨基酸高脂小鼠模型(CDA-HFD),发现均可显著改善模型小鼠的纤维化,尽管CDA-HFD模型中小鼠体重没有减轻。表明司美格鲁肽具有独立于体重减轻的、直接的抗纤维化作用机制。 新闻图片4 图2  司美格鲁肽具有独立的抗纤维化作用   3. 司美格鲁肽逆转MASH的蛋白特征 采用SomaScan技术对司美格鲁肽治疗队列进行蛋白质组学分析,共检测血清中4979种蛋白质,利用混合模型共筛选获得279种蛋白显著相关。其中72个蛋白与MASH缓解有关。进一步在哥本哈根MASLD队列(CoCo-MASLD)进行验证,发现与健康个体相比,在接受司美格鲁肽治疗的MASH患者中鉴定的72种蛋白质在MASH患者中也存在差异表达,如SERPINC1和APOF表达降低,ADAMTSL2和ACY1增高,司美格鲁肽将MASH 中72种蛋白质逆转为健康个体中的表达水平。 新闻图片5 图3 司美格鲁肽逆转MASH的蛋白特征


  文章小结 SomaScan可同时检测7000/11000种体液蛋白,灵敏度高、通量大,可以“捕获”以往被忽视的潜在靶点,为疾病机制研究提供全景视角。该研究通过SomaScan蛋白质组学技术重新定义司美格鲁肽的肝脏保护机制,揭示其同步调控肝脏"代谢-炎症-纤维化"三重通路的机制,为代谢性肝病提供了多效性治疗解决方案。


  参考文献 Jara M, Norlin J, Kjær MS, et al. Modulation of metabolic, inflammatory and fibrotic pathways by semaglutide in metabolic dysfunction-associated steatohepatitis. Nat Med. Published online July 21, 2025. doi:10.1038/s41591-025-03799-0
  中科优品推荐 【中科新生命】SomaScan P7K/P11K,开启血液万级蛋白质组检测新纪元!突破血液蛋白质组检测限制,深、稳、准三位一体检测,为血液蛋白标志物发现和临床转化创造新的机遇。如果感兴趣可进一步了解沟通!

 
 
  关于中科新生命
 
  上海中科新生命生物科技有限公司(APTBIO)创立于 2004 年,由原中国科学院上海生命科学研究院蛋白质组研究中心孵化而来,是国内质谱多组学应用领域的开拓者。公司以 “AI + 质谱多组学” 双核驱动创新,构建智能化组学生态。拥有自主知识产权的质谱检测平台与 AI 大数据分析系统,聚焦科技服务、生物医药及大健康消费三大领域,为全球科研机构、医院、药企提供从基础研究到临床转化的一站式解决方案。融合多组学技术与人工智能,围绕生物标志物发掘、药物靶点筛选及个性化诊疗等方向,构建具有国际竞争力的组学数据库与算法模型,推动转化医学进程,加速创新药物研发,成为推动生命科学数字化升级的核心引领者。    

上一篇

1 套乳酸化组学数据撬动 3 篇成果!看泰州人民医院团队如何挖掘乳酸化在肝癌中的分子机制

下一篇

16+8轻断食跌落神坛?国内团队Cell等研究揭秘:瘦了但发量告急!肠道也可能遭殃!

更多资讯

我的询价