上海中科新生命生物科技有限公司

18

手机商铺

qrcode
商家活跃:
产品热度:
  • NaN
  • 0.5
  • 1.5
  • 0.5
  • 3.5

上海中科新生命生物科技有限公司

入驻年限:18

  • 联系人:

    杨小姐

  • 所在地区:

    上海 闵行区

  • 业务范围:

    技术服务

  • 经营模式:

    生产厂商 科研机构

在线沟通

公司新闻/正文

JNCI | 超越传统模型:SomaScan小队列大发现,打造肝癌早期预测标志物新模型!

195 人阅读发布时间:2025-02-11 10:14

新闻图片1 与许多其它癌症相比,肝癌,尤其是肝细胞癌(HCC)的发病率更高。由于早期HCC无症状,大多数HCC确诊时已处于晚期,目前仍缺乏早期肝细胞癌的有效监测策略。因此,确定与HCC相关的诊断前生物标志物至关重要。 2024年8月,美国布莱根妇女医院的研究人员在《Journal of the National Cancer Institute》上发表了题为“Pre-diagnostic plasma proteomics profile for hepatocellular carcinoma”的论文,利用SomaScan平台对共计108个HCC患者/对照的血浆蛋白进行靶向高通量检测,确定了56种蛋白作为有希望的肝细胞癌生物标志物,并基于四种蛋白建立了一个预测模型,显示出更高的预测性能。 新闻图片2    


 
 研究材料
护士健康研究(NHS)和卫生专业人员随访研究(HPFS)两个队列中的54对HCC患者和基线匹配的无肝病对照的血浆;英国生物样本库制药蛋白组学项目(UKB-PPP)验证队列的血浆。


 
 技术路线
步骤1:识别与HCC相关的诊断前差异表达蛋白 步骤2:对区分HCC和健康对照的诊断前失调蛋白进行系统生物学分析 步骤3:通过ELISA对选定蛋白质进行验证 步骤4:通过Olink对选定蛋白进行独立验证


 
 研究结果
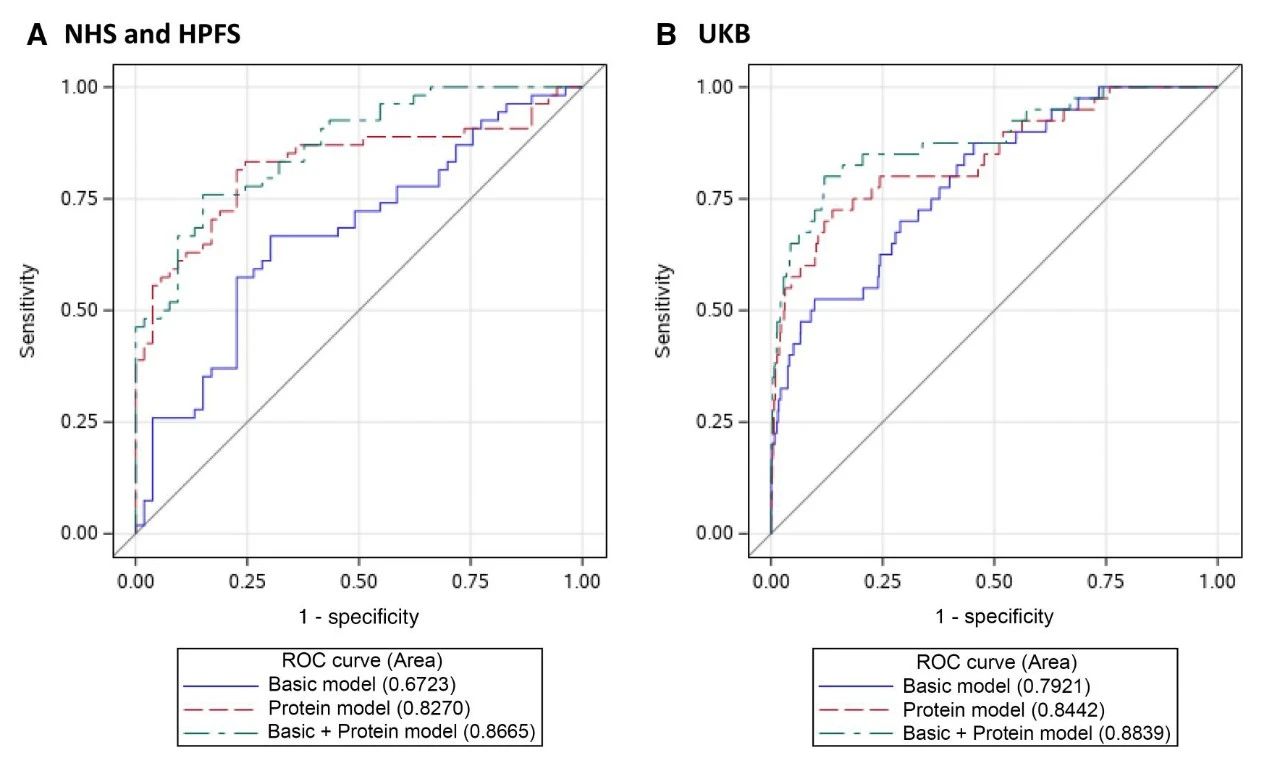
1. 鉴定与HCC相关的差异表达的诊断蛋白 NHS/HPFS队列,SomaScan分析的1305个蛋白中,有121个蛋白的表达水平在HCC和非HCC组中显著差异。由于样本量限制,这些蛋白在FDR校正后没有保持显著。在这121个蛋白中,HCC患者中有56个蛋白上调。8个代表性的蛋白在患者组中上调,且在HCC中具有明确的作用。 新闻图片3 图1 HCC组和非HCC组间的部分差异蛋白   2. 系统生物学分析诊断前失调蛋白 为了确定与肝细胞癌发生相关的生物学机制的新见解,作者对上述56个蛋白进行了IPA分析,这些生物学功能在统计学上具有显著意义,主要与炎症过程、免疫功能、细胞活力、髓样细胞激活和活性氧合成相关。利用STRING数据库进行PPI分析,定义了与蛋白质水解、粘附、血管功能、代谢、免疫功能和炎症相关的互作网络。 新闻图片4 图2 基于56个HCC相关失调蛋白的生理过程分析 基于56个HCC相关失调蛋白预测其上游调控蛋白。上游调节因子主要为炎症和免疫调节因子,如TNF、TGFβ1、IL1和MYD88等。在TNF、TGFβ1和IL1的下游蛋白中,CHI3L1、GDF15、SELE、IL1RN与HCC和癌症有已知联系,因此选这四个蛋白进行进一步的ELISA验证。 新闻图片5 图3 56个失调蛋白的上游调控蛋白   3. 通过免疫测定对选定蛋白质进行正交验证,构建标志物模型 使用ELISA验证SomaScan的检测结果。SomaScan和ELISA分析之间的Spearman相关系数范围为0.67至0.85,显示了两个平台之间的中等至高相关性。ELISA测定的CHI3L1、GDF15、SELE、IL1RN四个蛋白在HCC中的差异表达与SomaScan的结果一致,与HCC风险正相关。 使用上述四个蛋白构建逻辑回归模型,其AUC=0.83,高于传统的基础模型(AUC=0.67)。将四种蛋白纳入基础模型后,AUC进一步提升到0.87,敏感度为0.76,特异度为0.85。 新闻图片6 图4  构建逻辑回归模型区分HCC和健康人   4. 使用Olink对UKB-PPP队列中的独立蛋白进行验证 UKB-PPP队列的Olink结果中,上述四个蛋白均与HCC正相关。逻辑回归模型结果中,将四种蛋白纳入基础模型,AUC为0.88,敏感度为0.8,特异度为0.88。 此外,在该队列的62例肝硬化患者中,5人在随访期间发展成HCC。与非HCC参与者比,发展成HCC的肝硬化患者CHI3L1(P=0.004)和GDF15(P=0.047)水平较高。 表1 血浆蛋白与UKB-PPP队列中HCC风险的关系 新闻图片7


 
小结
本研究使用SomaScan高通量靶向蛋白质组学技术,筛选到了56个与HCC发展相关的血浆蛋白。其中四个已知与癌症有关的蛋白,经由ELISA和Olink验证,可作为HCC的早期预测标志物,能显著提高已有的经典模型。

    中科优品推荐 【中科新生命】深耕组学研究20载,具备行业丰富的各类蛋白质检测平台及成熟项目经验。现推出超高深度靶向蛋白组P7k/P11k新产品,该产品基于Somascan平台,同时实现蛋白检测的深、稳、准三位一体,适用于大规模的蛋白质组分析,尤其是血液蛋白质组,突破血液蛋白组深度极限,为血液蛋白标志物的临床转化创造新的机遇,现中科新生命和Somascan官方强强联手,推出的2024蛋白质组队列研究先锋计划正在如火如荼的进行中,有机会免费试用40个样本的检测,如果感兴趣可进一步了解沟通!

上一篇

生命科学界的“哪吒”!JAMA与CNS等顶刊见证SomaScan三头六臂的创新力量!

下一篇

1月高光开局!Cell等顶刊领衔,3篇署名!中科新生命1月发表项目文章70篇,平均影响因子7.36分!

更多资讯

我的询价