18 年
手机商铺
公司新闻/正文
657 人阅读发布时间:2023-12-08 11:18

非酒精性脂肪肝炎(NASH)是非酒精性脂肪性肝病(NAFLD)进展中重要的环节,伴有肝细胞肿胀、肝脏坏死性炎症和肝纤维化,部分患者可发展为肝硬化或肝细胞癌。目前肝组织活检是NASH诊断及分期的金标准,然而活检存在采样误差高,侵入性导致患者依从性差、并发症风险高的问题,尚无已批准的液体活检方法。因此,迫切需要无创诊断生物标志物监测疾病进展及评估治疗反应。来自美国的研究团队,利用基于somascan平台的超深度靶向蛋白质组技术,发现了NASH诊断标志物(J Hepatol,2023)。进一步,通过对多种现有诊断方法的横向比较,确认了该方法在NASH液体活检中的诊断优势和应用价值(Lancet Gastroenterol Hepatol,2023)。目前该类方法(SomaSignal®)提供LDT检测,已进行了一定范围的临床应用推广。该成果展示了基于somascan超深度靶向蛋白组,在发现具有转化潜力标志物方面的巨大价值。
01
NASH标志物的发现
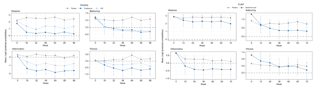
2023年4月,国际临床顶刊J Hepatol(IF 25.7)发表了研究成果“Defining the serum proteomic signature of hepatic steatosis, inflammation, ballooning and fibrosis in non-alcoholic fatty liver disease”,基于somascan平台对血清中5000多种蛋白检测分析,发现并验证了NAFLD相关的4种判别模型(SomaSingnal),模型包含37个蛋白,可诊断发现高危患者。此外,鉴于该模型的高灵敏度,可评估不同药物干预的纵向变化。

研究队列及相关技术
队列:n=636;
技术:somascan
主要发现
这4个模型可分别辅助判断NAFLD的4种关键临床特征,其中包含脂肪变性、小叶炎症、肝细胞气球化和纤维化。此外,基于这4个模型输出的混合模型可有效识别高危NASH,其诊断能力良好,AUC在训练队列中为0.93,在验证队列中为0.84-0.85,灵敏度为(0.87-0.92)。而在肝硬化鉴定中,使用纤维化模型(95% probability cut-off),在训练集中识别25名肝硬化患者中的17名(17/25),在两个验证集中识别情况分别是2/3和7/10,总体特异性为93-95%。

进一步评价了这些模型指征药物治疗效果的能力。这四种模型具有足够的灵敏度判别上述病理特征在药物治疗后的疾病改善情况。

02
NASH标志物的临床横向评价
国际临床顶刊Lancet Gastroenterol Hepatol(IF 35.7)在线发表了创新研究成果“Biomarkers for staging fibrosis and non-alcoholic steatohepatitis in non-alcoholic fatty liver disease (the LITMUS project): a comparative diagnostic accuracy study”。研究纳入了来自于13个欧洲国家的966例NAFLD患者,对比了17种无创生物标志物在识别NASH伴有显著或晚期纤维化的性能。对于晚期纤维化,基于somascan平台的蛋白质组标志物SomaSignal具有最优判别能力(AUC 0.9)。

研究队列及相关技术
队列:n=966;
技术:somascan,ELISA等
主要发现
与目前临床常用指标FIB-4指数的比较中,SomaSignal在这17种标志物中表现最好:其判别NASH及临床显著纤维化的AUC为0.81(0.75–0.86),而FIB-4在相应亚组中的AUC仅为0.66(0.60–0.73);其判别晚期纤维化的AUC为0.9(0.86-0.94),显著高于FIB-4(AUC为 0.72(0.66-0.79))。


本文中,还对这些标志物作为NASH和显著纤维化(例如高危NASH)药物试验受试者筛选方法进行了评价和比较。其中,SomaSignal效果最佳。

总结
基于somascan平台的蛋白质组学可有效检测超高深度的血液蛋白(现可靶向检测11000血液蛋白),不仅突破过往血液蛋白质检测低覆盖度的技术壁垒,而且还具备高稳定性、高准确性的特点,为具有转化潜力的标志物的发现提供了坚实的技术保障,这也给后续疾病液体活检时代的实现带来了新的希望。
中科优品推荐
【中科新生命】现推出超高深度靶向蛋白组P7k/P11k新产品,该产品基于Somascan平台,同时实现蛋白检测的深、稳、准三位一体,适用于大规模的蛋白质组分析,尤其是血液蛋白质组,突破血液蛋白组深度极限,为血液蛋白标志物的临床转化创造新的机遇,欢迎感兴趣的老师前来咨询。

