18 年
手机商铺
公司新闻/正文
37 人阅读发布时间:2026-01-21 09:40

生命早期生长,特别是从受孕到两岁的前1000天,是终身健康的基础。由于器官系统未成熟、细胞增殖和分化活跃,这一阶段也是发育脆弱的时期,不良环境暴露不仅会损害胎儿和婴儿的健康,还会增加成年后慢性疾病的风险(如肥胖、糖尿病和心血管疾病)。因此,识别影响生命最初 1000 天生长的环境因素并实施相应的干预措施,对于保护和促进人类的短期和长期健康至关重要。尽管在过去二十年中,科学家们一直致力于研究环境因素对生命早期生长的影响,但仍存在一些挑战和局限性如环境暴露因素研究单一,采用单一横断面指标(主要是出生体重)代表生命早期的生长状况,环境暴露与生命早期生长之间的生物学联系及其与遗传因素的相互作用尚未被充分研究。
2025年10月,上海交通大学医学院附属新华医院张军教授团队在Environment International发表题为“Incorporating maternal metabolome and genome to understand the effects of prenatal phenol exposure on the first 1000-day growth in an exposome-based study”的研究论文。该研究基于上海出生队列,将新生儿性别特异性年龄别体重(WAZ)、年龄别身长(LAZ)和身长别体重(WLZ)z值作为胎儿生长的结局指标,将 2 岁前的 WAZ、LAZ 和 WLZ 的生长轨迹作为婴幼儿生长的结局指标。结合多种暴露组学分析策略,筛选出持续影响前 1000 天生长的孕期环境因素,并在此基础上纳入母体代谢组和基因组信息,以探究其背后的生物学机制以及由遗传易感性所导致的影响变化。

研究人群
上海出生队列(SBC)中1944对单胞母婴对(母代完成全基因组测序,其中1723对母子完成孕早期血清样本非靶代谢组检测,收集子代0~2岁随访期(出生、45天、6个月、12个月和24个月)体格数据)。研究共纳入了 70 个孕期暴露变量,涵盖了户外和生活环境、化学物质、健康行为、饮食与营养补充剂以及心理社会状况等类别。

图1 研究人群和统计方法概述
研究内容
1.统计分析
基于混合生长模型(GMM),分别生成了 3 条WAZ、3 条LAZ和2 条WLZ生长轨迹。对于 WAZ 生长轨迹,被归入正常、快速和缓慢生长组的婴幼儿数量(%)分别为 1182人(60.80%)、230人(11.83%)和 532人(27.37%)。对于 LAZ 生长轨迹,被归入正常、快速和缓慢生长组的婴幼儿数量(%)分别为 1036人(54.46%)、180人(9.29%)和 722人(37.25%)。对于 WLZ 生长轨迹,分别有 1210(62.44%)名婴幼儿和 728(37.56%)名婴幼儿被归入正常和快速生长组。

图2 (a) WAZ, (b) LAZ, (c) WLZ的生长轨迹
绿色代表正常生长轨迹,蓝色代表缓慢生长轨迹,红色代表快速生长轨迹
2. 识别与胎儿和婴幼儿生长结局相关的暴露物
暴露组分析分别确定了与WAZ、LAZ和WLZ相关的 16 个、9 个和 16 个环境因素。综合暴露关联分析结果发现与胎儿和婴幼儿不同生长结局相关的环境因素主要包括酚类化合物、室外环境暴露(如夜间人造灯光、绿地、空气污染和温度)、部分金属和全氟化合物。其中,酚类化合物作为持续影响生命早期生长的暴露物尤为突出:多种酚类化合物不仅与新生儿WAZ、LAZ和WLZ呈负相关,而且与WAZ缓慢生长轨迹、LAZ缓慢生长轨迹 和WLZ快速生长轨迹的风险呈正相关。分位数g方程模型(quantile g-computation model, QGC)分析也表明酚类化合物暴露可显著影响胎儿及婴幼儿生长,且对婴幼儿长期生长的影响是通过其对胎儿生长的作用来实现的。

图3 暴露组关联分析
3. 探索产前酚类化合物暴露与胎儿和婴幼儿生长之间关系的生物学机制
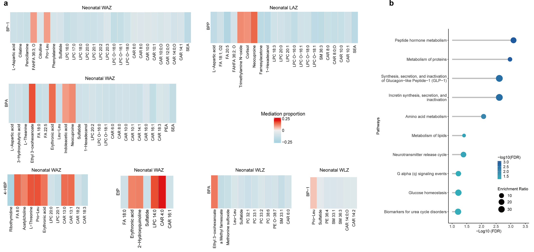
基于暴露组关联分析的结果,作者在 1723 对有早期孕期血清代谢组数据的母子对中,从母体代谢层面探讨了酚类化合物与早期生命生长之间的生物学机制。通过中间相遇分析和中介效应分析,发现了 71 种介导酚类化合物与胎儿生长结局之间关系的代谢物,主要包括酰基肉碱(CARs)、脂肪酸(FAs)、溶血磷脂酰胆碱(LPCs),氨基酸(AAs)及其衍生物以及一些鞘脂类物质。这些代谢物中的大多数都与酚类化合物以及胎儿的生长发育结局呈正相关关系,从统计学角度来看,它们具有负面的调节作用。进一步功能分析,主要富集在肽激素代谢,蛋白质代谢,胰高血糖素样肽-1 (GLP-1)的合成、分泌和失活,肠促胰岛素的合成、分泌和失活,氨基酸代谢,脂质代谢等通路。总之,这些发现表明,孕期接触酚类化合物可能通过干扰母体的葡萄糖和脂质代谢来影响胎儿的生长。

图4 中间相遇、中介和富集分析
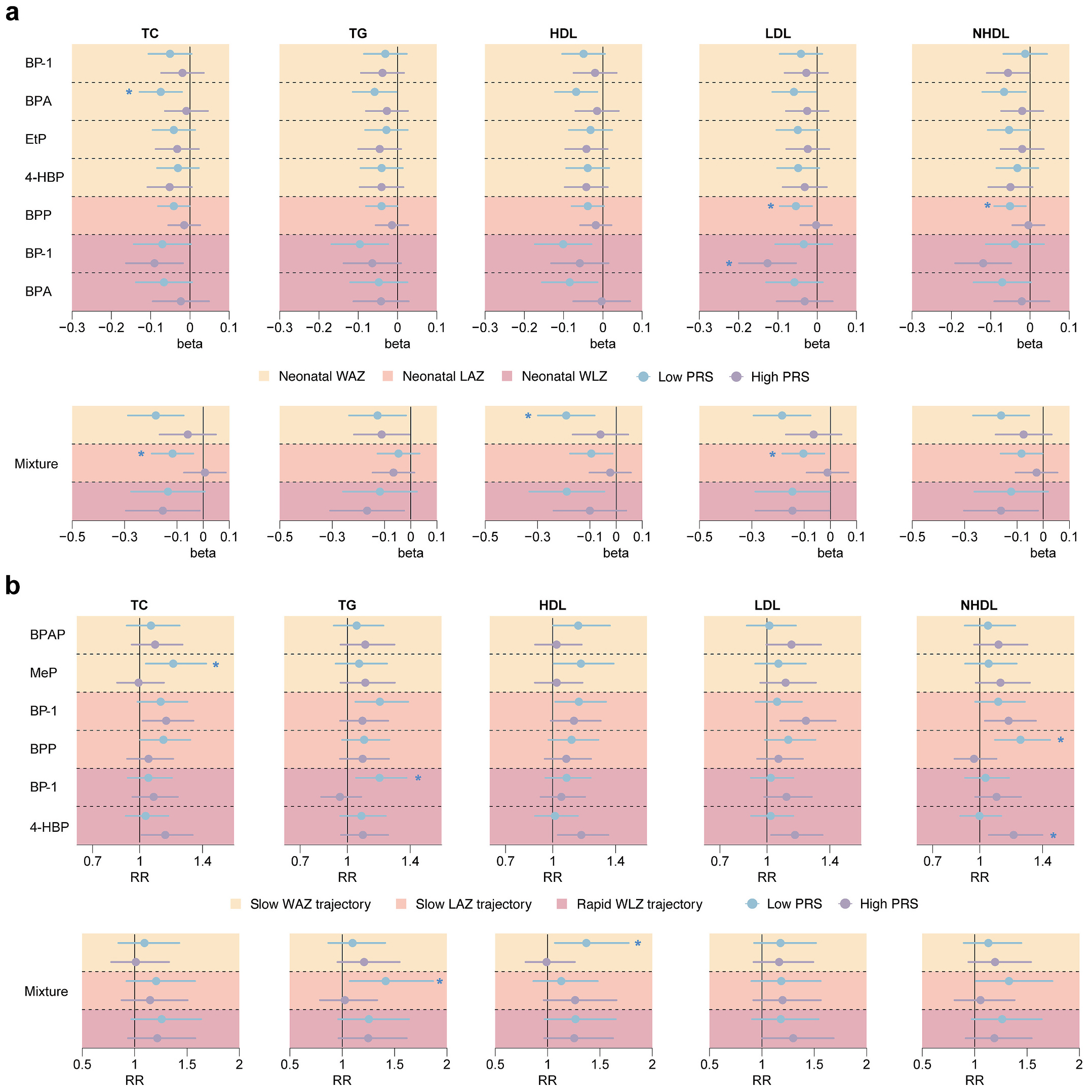
4. 基因-环境相互作用对胎儿和婴幼儿生长的影响
根据代谢组学分析,作者基于母亲基因组构建了配套多基因风险评分(PRS)包括5个糖代谢相关表型PRS (2型糖尿病(T2D)、空腹血糖(FG)、空腹胰岛素(FI),2 h口服糖耐量(OGTT2h)、HbA1c))和5个脂代谢相关表型PRS (总胆固醇(TG)、甘油三酯(TG)、高密度脂蛋白胆固醇酯(HDL)、低密度脂蛋白胆固醇酯(LDL),非高密度脂蛋白胆固醇酯(NHDL))用于环境-基因交互作用分析。结果发现单一及混合酚类化合物暴露对新生儿WAZ和LAZ的影响在T2D和OGTT2h的高PRS组以及FI的低PRS组中更为显著,对婴幼儿WAZ和LAZ生长缓慢轨迹风险的影响在T2D、FG、OGTT2h和HbA1c的高PRS组及FI低PRS组中更为显著,同时对胎儿和婴幼儿生长结局的关联在低TC、HDL、LDL和NHDL的PRS组中通常更为显著。
总之,孕期单一及混合酚类化合物暴露与胎儿和婴幼儿生长结局的相互作用分析的关联,通常在具有高血糖和低脂质代谢特征的母亲中更为显著,这表明母亲的高血糖和低脂质代谢遗传风险可能会加剧胎儿期接触酚类化合物对早期生命生长的影响。

图5 产前接触酚类化合物与母体葡萄糖代谢相关多基因风险评分对(a)胎儿生长结局和(b)婴幼儿生长轨迹风险的交互作用

图6 产前接触酚类化合物与母亲脂质代谢相关多基因风险评分对(a)胎儿生长结局和(b)婴幼儿生长轨迹风险的相互作用
小结
孕期接触酚类化合物与婴儿早期体重和身长增长缓慢以及出生后脂质快速堆积存在正相关关系,这可能与这些化学物质对母体葡萄糖和脂质代谢的干扰有关。孕妇存在高葡萄糖和低脂质代谢的遗传倾向可能会加剧酚类化合物的影响。其他环境暴露因素,如空气污染物、绿地、夜间人造灯光、温度、金属、全氟和多氟烷基物质,也可能与胎儿和/或婴幼儿的生长有关。

中科优品推荐
【中科新生命】针对暴露组学研究,隆重推出暴露组检测的一系列产品(涵盖E300高通量靶向暴露组、金属元素、微塑料、全氟化合物)。还另外提供高端定制方案,除全面的暴露组检测产品外,配套微生物组、代谢组等多组学检测服务与完善的生信分析服务,针对暴露组对人群队列健康影响提供一站式研究解决方案,为您的研究精准定位,保驾护航。欢迎感兴趣的老师前来咨询!


滑动图片查看更多>>>
关于中科新生命
上海中科新生命生物科技有限公司(APTBIO)创立于 2004 年,由原中国科学院上海生命科学研究院蛋白质组研究中心孵化而来,是国内质谱多组学应用领域的开拓者。公司以 “AI + 质谱多组学” 双核驱动创新,构建智能化组学生态。拥有自主知识产权的质谱检测平台与 AI 大数据分析系统,聚焦科技服务、生物医药及大健康消费三大领域,为全球科研机构、医院、药企提供从基础研究到临床转化的一站式解决方案。融合多组学技术与人工智能,围绕生物标志物发掘、药物靶点筛选及个性化诊疗等方向,构建具有国际竞争力的组学数据库与算法模型,推动转化医学进程,加速创新药物研发,成为推动生命科学数字化升级的核心引领者。
