上海中科新生命生物科技有限公司

18

手机商铺

qrcode
商家活跃:
产品热度:
  • NaN
  • 0.5
  • 1.5
  • 0.5
  • 3.5

上海中科新生命生物科技有限公司

入驻年限:18

  • 联系人:

    杨小姐

  • 所在地区:

    上海 闵行区

  • 业务范围:

    技术服务

  • 经营模式:

    生产厂商 科研机构

在线沟通

公司新闻/正文

Nat Commun | 孩子胖不胖,孕期就有“信号”? 多组学研究揭示孕期环境影响儿童代谢命运的分子密码

163 人阅读发布时间:2025-07-23 16:06

新闻图片1
  儿童肥胖已成为全球公共卫生的 “重灾区”,且一旦发生很难逆转,还会埋下糖尿病、心血管疾病的隐患。但并非所有肥胖儿童都会出现代谢问题,有人 “胖而健康”,有人却早早陷入胰岛素抵抗、高血压等困境。这种差异背后,到底藏着怎样的分子密码? 2025年1月,西班牙巴塞罗那全球卫生研究所团队在 Nature Communications (IF 15.7)发表了题为“Multi-omics architecture of childhood obesity and metabolic dysfunction uncovers biological pathways and prenatal determinants”的研究性论文。研究团队通过整合多组学数据,包括甲基化组、miRNA 组、转录组、蛋白质组和代谢组数据,首次在分子层面定义了三种儿童肥胖亚型,不仅锁定了高风险人群的特征,更揪出了孕期环境中的 “隐形推手”——孕期高BMI、全氟辛酸及汞暴露等环境因素或是儿童肥胖及和代谢功能障碍的诱因,为肥胖的早期干预和个性化治疗提供理论依据。 新闻图片2  


 
 技术方法
DNA甲基化组、miRNA组、转录组、蛋白质组和代谢组检测


 
 技术路线
步骤1:整合多组学与表型数据,筛选儿童肥胖相关分子特征; 步骤2:用相似网络融合和谱聚类识别3个聚类,在另一队列验证; 步骤3:通过回归模型明确高风险聚类的临床表型; 步骤4:借助模型和SHAP值找出关键分子及潜在机制; 步骤5:用LASSO-SHARP筛选并验证孕期决定因素。


 
 研究结果
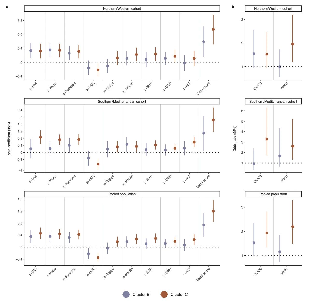
1. 多组学聚类的识别与验证 研究整合了欧洲HELIX项目中北欧/西欧队列儿童的甲基化组、miRNA组、转录组、蛋白质组和代谢组数据,结合表型特征,通过相似网络融合和谱聚类方法识别出3个多组学聚类(Cluster A、B、C),并利用标签传播法在南欧/地中海队列中验证了这些聚类的稳定性。这表明儿童肥胖及代谢异常存在不同的分子亚型,且这些亚型在欧洲不同地区具有可重复性。 新闻图片3 图1  研究分析流程   2. 多组学聚类与代谢健康结局的关联 接着,通过广义回归模型和逻辑回归模型,分析了多组学聚类与代谢健康结局的关联。在北欧/西欧和南欧/地中海队列中,均发现Cluster C与更高的BMI、体脂、腰围,更低的HDL胆固醇,更高的血压和胰岛素水平相关,且该聚类儿童出现代谢不健康状态的概率显著更高;Cluster B主要与 anthropometric 结局相关。这表明Cluster C为代谢风险最高的亚型,多组学聚类可有效区分儿童代谢健康状况的差异 新闻图片4 图2 多组学簇与儿童代谢健康结果的关联   3. 高风险聚类的分子驱动因素及生物学机制 随后,聚焦于多组学聚类的分子驱动因素,运用极端梯度提升(XGboost)模型和SHAP值分析,识别出对高风险Cluster C定义起关键作用的分子驱动因素,包括14种miRNA、52个基因的转录水平、多种炎症相关蛋白(如IL-6、TNF-α)及特定代谢物(如缬氨酸、肉碱)。通过通路分析发现,Cluster C主要富集于免疫和炎症相关通路(如Toll样受体信号、MAPK信号),以及胰岛素作用和内皮功能相关通路,揭示了炎症在儿童肥胖及代谢异常中的核心作用。 新闻图片5 图3 高风险簇 C 的分子驱动因素   4. 产前环境因素与高风险聚类的关联 最后,探究了产前环境因素对多组学聚类的影响,通过LASSO-SHARP方法从37项母源性环境暴露及特征中筛选出关键决定因素。在北欧/西欧队列中,母亲孕前BMI和全氟辛酸(PFOA)暴露与高风险Cluster C的关联显著;在南欧/地中海队列中,母亲汞暴露是主要相关因素。多变量回归模型验证显示,这些因素会增加儿童归入高风险聚类的概率,说明产前环境是儿童肥胖及代谢异常高风险亚型的重要影响因素。 新闻图片6 图4 多组学簇的产前决定因素




 
文章小结
研究通过整合儿童多组学数据与母体环境暴露物数据,深入探讨了儿童肥胖及其代谢功能障碍的分子基础。利用甲基化组、miRNA组、转录组、蛋白质组和代谢组分析,揭示了与肥胖相关的分子通路和驱动因素。同时,结合母体暴露物特征,产前环境因素与高风险聚类相关,产前环境暴露可能通过影响多组学分子特征,影响儿童肥胖及代谢异常的发生发展,为早期预防和干预提供了依据。



    中科优品推荐 【中科新生命】针对暴露组学研究,隆重推出暴露组检测的一系列产品(涵盖E300高通量靶向暴露组、金属元素、微塑料、全氟化合物)。还另外提供高端定制方案,除全面的暴露组检测产品外,配套微生物组、代谢组等多组学检测服务与完善的生信分析服务,针对暴露组对人群队列健康影响提供一站式研究解决方案,为您的研究精准定位,保驾护航。欢迎感兴趣的老师前来咨询!
 

上一篇

一轮通知 | 破卷之战!Cell/Mol Cell/PNAS等顶刊学者亲授如何用新修饰破解同质化困局,引爆科研创新“核爆点”

下一篇

聚势领航暴露组学:中科新生命×深检医学开启战略新篇章

更多资讯

我的询价