上海中科新生命生物科技有限公司

18

手机商铺

qrcode
商家活跃:
产品热度:
  • NaN
  • 0.5
  • 1.5
  • 0.5
  • 3.5

上海中科新生命生物科技有限公司

入驻年限:18

  • 联系人:

    杨小姐

  • 所在地区:

    上海 闵行区

  • 业务范围:

    技术服务

  • 经营模式:

    生产厂商 科研机构

在线沟通

公司新闻/正文

项目文章Food Chem (IF 9.2) | 代谢组学助力罗非鱼口感和营养品质研究

313 人阅读发布时间:2022-06-30 09:34

新闻图片1

热加工是一种常见的鱼类加工方法,包括煮、蒸、空炸等方法。鱼肉加工过程中脂质氧化和美拉德反应是产生挥发性风味的主要因素,有研究发现鱼类风味的改善取决于一些代谢产物之间的协同作用和相互作用。目前对鱼类热加工的研究主要集中在热加工引起的热量损失、质地、颜色和基本营养的宏观变化上,缺乏关于热加工引起的鱼类代谢变化的研究数据。
20219月,中国水产科学研究院南海水产研究所赵永强老师团队Food Chemistry上发表了题为Application of UHPLC-Q-TOF-MS/MS metabolomics approach to investigate the taste and nutrition changes in tilapia fillets treated with different thermal processing methods的文章。该文使用基于UHPLC-Q-TOF-MS /MS的非靶向代谢组学方法系统研究了不同热加工方法对罗非鱼小分子代谢产物的影响,探讨影响罗非鱼口感和营养特征的化合物。该研究结果可为罗非鱼最佳热加工工艺的选择提供依据,有助于提高罗非鱼产品的市场竞争力。中科新生命参与了该研究中非靶代谢组的相关工作。

新闻图片2


研究材料
罗非鱼鱼片

技术路线
步骤1对不同热加工处理的罗非鱼鱼片进行代谢物分析;
步骤2差异代谢物的筛选与相关性分析;
步骤3不同代谢产物对罗非鱼鱼片口感和营养成分的影响。

研究内容
1. 对不同热加工处理的罗非鱼鱼片进行代谢物分析
作者将大小相近的鱼片随机分成四组,一组生鱼片作为对照,其余三组分别做了煮、蒸和空炸加工处理,然后对不同热加工处理的罗非鱼鱼片进行代谢组学检测和分析。在鉴定到的代谢物中,有机酸类、核苷酸类、脂类、氨基酸类物质居多。接着作者使用层次聚类分析更全面地展示不同热加工方法处理的罗非鱼鱼片之间代谢物表达模式的差异,结果发现生鱼片组和热加工后的罗非鱼鱼片很容易区分,空炸处理与蒸和煮处理有显著差异,蒸和煮处理方法对罗非鱼鱼片代谢产物的影响相似(图1)。
新闻图片31不同热加工方法处理的罗非鱼鱼片代谢物的热图分析

2差异代谢物的筛选与相关性分析
作者进一步对检测结果做了统计分析研究,PCA分析发现在一定程度上可以区分生鱼片和加工罗非鱼鱼片,且正离子模式优于负离子模式。OPLS-DA分析显示与生鱼片组相比,不同热加工处理对罗非鱼鱼片中代谢物的组成有较大的影响。根据差异代谢物筛选标准(VIP>1p<0.05),与生鱼片组相比,在不同热加工处理的罗非鱼鱼片样品中鉴定出42种不同的代谢物,且三个对比组中常见差异代谢物的所有表达趋势一致。将显著差异代谢物之间进行相关性分析用于评估各种代谢物的相互依赖性,结果表明煮和蒸处理对代谢物变化的影响相似,而空炸处理则显著不同(2,图3)
新闻图片4
2  不同对比组OPLS-DA分析

新闻图片5
3不同对比组差异代谢物相关性分析


 
3不同代谢产物对罗非鱼鱼片口感和营养成分的影响
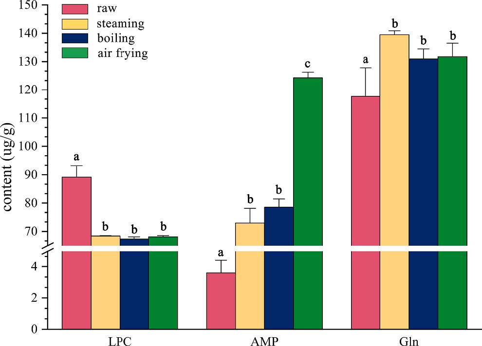
作者进一步通过提高筛选标准(VIP>2p<0.05)筛选差异代谢物,以寻找对分组贡献大的组分。在蒸/生、煮/生和空炸/生三组中,共筛选出23种不同的代谢物,根据面积归一化法计算罗非鱼鱼片中不同代谢物的相对含量,进一步表明蒸和煮两种处理方法对罗非鱼鱼片代谢产物表达趋势的影响相似,与空炸处理有显著差异。还分析了代谢产物及其对热加工罗非鱼鱼片味道和营养含量的影响。如AMP可以抑制水产品的苦味,是一种很好的风味增强剂,热加工处理可以增加AMP含量,提高罗非鱼鱼片的口感。为了验证代谢分析的结果,采用HPLC法对不同热处理方法处理的罗非鱼鱼片中LPCAMPGln的含量进行了定量检测,结果表明新鲜罗非鱼肉中这些物质的含量与热处理后的含量有显著差异(图4,图5
新闻图片6
不同热加工方法下罗非鱼鱼片中差异代谢产物的相对含量

新闻图片7
5不同热加工方法下罗非鱼鱼片中LPCAMPGln的含量

 
小结
作者使用非靶向代谢组学方法研究了生、蒸、煮、空炸罗非鱼鱼片中的代谢产物,发现罗非鱼鱼片经热加工后的差异化合物主要是脂肪、氨基酸和核苷酸,这些化合物对罗非鱼鱼片的口感和营养有重要影响,表明代谢组学是水产品热加工质量检测的有效方法。
 

上一篇

ISME Journal (IF 11.217) | 空间代谢组助力植物-蓝藻共生关系研究

下一篇

项目文章 | 16S+代谢助力客户土壤污染研究登陆环境科学顶刊

更多资讯

我的询价