18 年
手机商铺
公司新闻/正文
456 人阅读发布时间:2022-06-22 08:59
2022年2~5月份,郑州大学农学院庞会利老师团队陆续在Microorganisms、Foods和Toxins期刊发表三篇文章,利用16S rDNA、ITS多样性测序技术(中科新生命提供测序服务)分别对豆粕、玉米青贮饲料发酵过程进行研究,发现粪肠球菌(Enterococcus faecalis)ZZUPF95、植物乳杆菌(Lactiplantibacillus plantarum)ZA3菌株、艾蒿的添加能提升豆粕、玉米青贮饲料在有氧暴露条件下发酵后产物的品质,具体表现为降低发酵产物pH、增加有机酸含量、抑制病原菌繁殖。这些研究结果对改进豆粕、玉米青贮饲料的发酵方式和贮藏具有一定的理论价值。
下面让我们来回顾一下这3篇文章的主要内容:
研究背景
豆粕(SBM)作为一种充足的植物蛋白原料,因其蛋白质含量高、动物必需氨基酸丰富,以及多种功能性营养素而受到广泛关注。然而,豆粕中的大分子蛋白、病原微生物、霉菌毒素和抗营养因子(ANFs)却会对食草动物的生长性能和肠道健康产生不良影响。全作物玉米青贮饲料(WCCS)营养价值高,综合经济效益高,是反刍动物最常见的饲草饲料,但在收获前、发酵过程中和青贮完成后可能会受到多种霉菌毒素的污染。包括E. faecalis、L. plantarum在内的乳酸菌(LAB)作为广泛应用的饲料发酵添加剂,可以促进发酵豆粕中乳酸和营养物质的积累、降低发酵产物pH和ANFs的含量;并可以调节青贮饲料原料中的微生物群,使其营养成分得以保存,以保证青贮饲料的发酵质量和稳定性。艾蒿(AA)含有多种活性化合物,并具有抑菌效用,是一种用于治疗腹泻、止血和炎症等疾病的传统中草药。近年来,AA作为饲料添加剂可以提高饲料质量,降低饲料成本,减少环境污染,在动物生产中得到了积极的应用。因此,探索饲料发酵过程中LAB、AA添加剂对豆粕、青贮饲料发酵品质、化学成分和微生物菌群的影响,有助于提升发酵饲料品质和改善贮藏方式。
01 粪肠球菌处理豆粕发酵和好氧暴露过程中微生物种群演替、群落多样性及其与发酵质量的关系

技术路线:

主要结果:
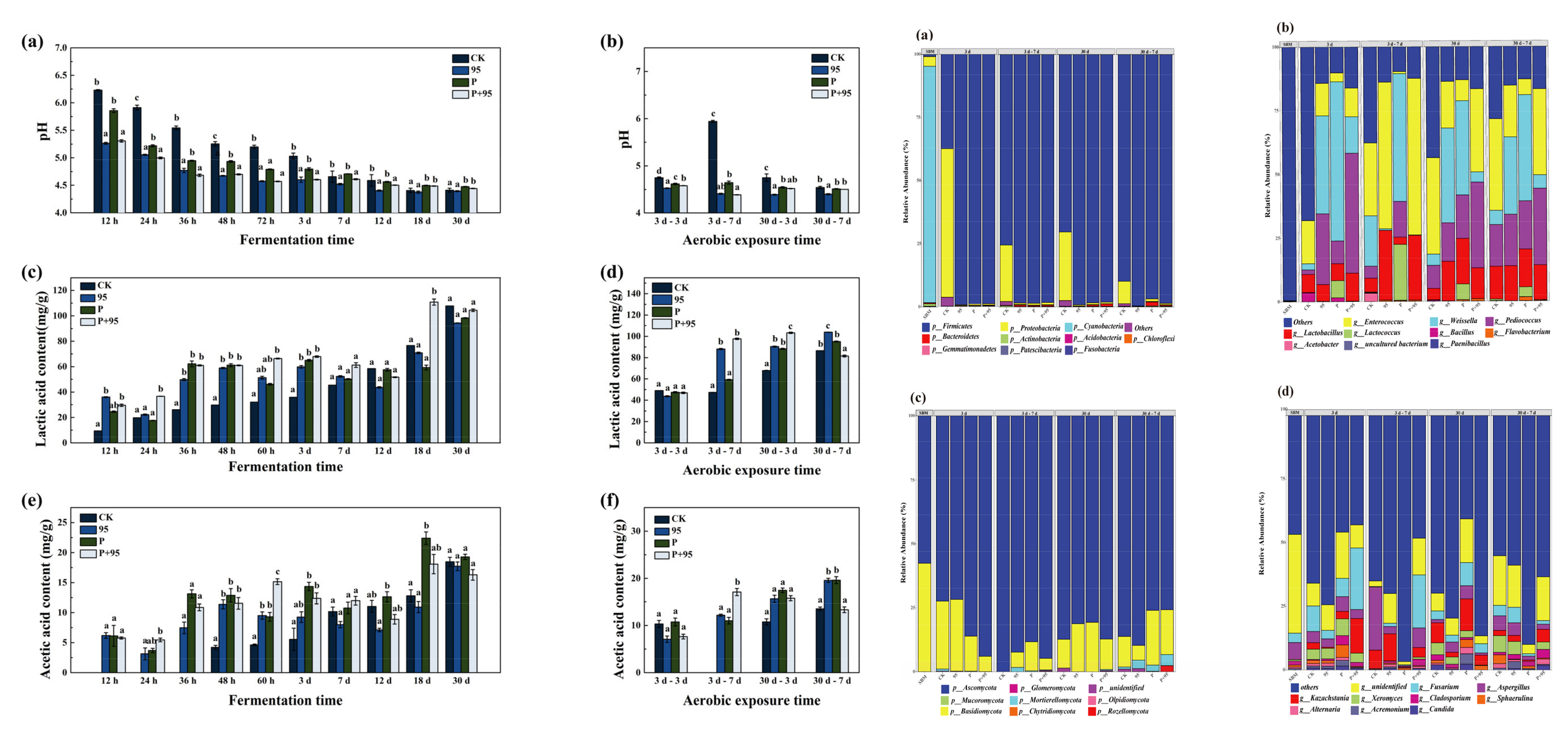
1)2%葡萄糖、2%蛋白胨、1.47%无机盐是E. faecalis ZZUPF95的最佳培养基配比,最佳发酵方案为发酵时间36 h、接种量10%、料水比1:1。
不同处理条件下,豆粕发酵和有氧暴露过程中理化性质和微生物群落结构发生改变
[1] Ma H, Wang W, Wang Z, et al. Microbial population succession and community diversity and its correlation with fermentation quality in soybean meal treated with Enterococcus faecalis during fermentation and aerobic exposure[J]. Microorganisms, 2022, 10(3): 530.
02 乳酸菌、艾蒿处理豆粕发酵和好氧暴露过程中微生物群落和发酵质量的动态变化

技术路线:

主要结果:
1)与发酵3 d相比,L. plantarum ZA3和艾蒿处理组在发酵30 d及后续有氧暴露后,其结构较松散,外观呈弥散大孔。
2)随着ZA3和艾蒿的加入和发酵时间的延长,发酵饲料pH值降低、有害微生物减少,有机酸含量增加,霉菌毒素含量显著下降。
3)综上所述,ZA3和艾蒿处理30 d发酵豆粕是最优的。即使考虑到成本的原因,在大批量的实际生产中,30 d的发酵也可以作为保存发酵豆粕的一种手段。
4)本文研究结果为确定乳酸菌与艾蒿复合作为高效饲料添加剂的可能性提供了初步参考。

不同处理条件下,豆粕发酵和有氧暴露过程中有害微生物相对丰度和霉菌毒素含量降低
[2] Wang W, Tan Z, Gu L, et al. Dynamics changes of microorganisms community and fermentation quality in soybean meal prepared with lactic acid bacteria and Artemisia argyi through fermentation and aerobic exposure processes[J]. Foods, 2022, 11(6): 795.
03 乳酸菌、艾蒿处理青贮玉米发酵和好氧暴露条件下微生物群落和发酵品质的变化

技术路线:

主要结果:
1)L. plantarum ZA3和艾蒿(AA)处理可提升全作物玉米青贮饲料的发酵质量、化学成分和微生物种群。 2)发酵60 d后,ZA3和较高的AA(>6%)施用量均增加了乳酸杆菌的相对丰度,而AA降低了肠杆菌和醋杆菌含量。 3)在有氧暴露期间,ZA3和AA降低了念珠菌的相对丰度,ZA3处理降低了醋杆菌相对丰度,AA处理降低了毕赤酵母和哈萨克斯坦酵母相对丰度。 4)ZA3和AA处理组降低了发酵饲料中霉菌毒素水平,所有AA处理组的总黄酮含量均显著升高。 5)本研究结果为应用AA(>6%)作为高效饲料添加剂抑制真菌衍生霉菌毒素、提高青贮饲料品质的可能性提供了初步参考。
添加AA的青贮饲料发酵和有氧暴露过程中有害微生物相对丰度和霉菌毒素含量降低、总黄酮含量升高
[1] Wang W, Tan Z, Gu L, et al. Variation of Microbial Community and Fermentation Quality in Corn Silage Treated with Lactic Acid Bacteria and Artemisia argyi during Aerobic Exposure[J]. Toxins, 2022, 14(5): 349.
小编小结
在发酵领域微生物组学相关研究中,上述文章实验设计思路富有代表性,非常适合刚开展微生物组学研究的老师们参考。3篇研究利用不同的发酵原材料(豆粕、玉米青贮饲料),设置不同的处理方式(发酵时间、有氧暴露、不同LAB菌株+蛋白酶/AA),对发酵产物的理化性质、营养物质/有害物质含量、微生物群落结构分别进行探讨,为提升发酵饲料品质和优化贮存方式提供了理论依据。在此基础上,后续可以考虑增加宏基因组、代谢组层面的研究,进一步探索发酵过程中潜在的微生物功能过程、代谢机理和调控网络,发掘饲料品质提升中的关键功能微生物。