上海中科新生命生物科技有限公司

18

手机商铺

qrcode
商家活跃:
产品热度:
  • NaN
  • 0.5
  • 1.5
  • 0.5
  • 3.5

上海中科新生命生物科技有限公司

入驻年限:18

  • 联系人:

    杨小姐

  • 所在地区:

    上海 闵行区

  • 业务范围:

    技术服务

  • 经营模式:

    生产厂商 科研机构

在线沟通

公司新闻/正文

Cell | 肠道微生物又立功了:泡菜配酸奶,提升免疫力

365 人阅读发布时间:2021-08-04 09:59

◆ 研究背景
  发酵食品是指人们利用有益微生物加工制造的一类食品。因在食品加工过程中有微生物参与作用,其中的微生物会不会影响宿主肠道菌群?经常吃这类食品,对健康有没有益处?尽管现在餐桌上的发酵食品不少,但关于食用发酵食品与人类健康关系的临床证据却非常有限。近日,一篇发表在国际杂志Cell上题为“Gut-microbiota-targeted diets modulate human immune status”的研究报告中,来自斯坦福大学的研究人员们通过研究发现,富含发酵食物的饮食方式或能增强机体肠道菌群的多样性并降低炎性标记物的水平。
新闻图片1

技术路线
新闻图片2

◆ 主要结果
1. 高纤维饮食和高发酵食品饮食的饮食干预
为了探究饮食干预对微生物群和免疫系统的影响,研究者招募了36个健康的成年人,随机分成2组,进行为期17周的高纤维饮食和高发酵食品饮食的饮食干预,分析两种饮食方式对宿主肠道微生物组和免疫系统产生的不同效应。
新闻图片3
 
2. 饮食干预对肠道微生物群的影响
高纤维饮食组肠道微生物的种类没有明显变化,但来自微生物组编码的聚糖降解碳水化合物活性酶(CAZymes)活性增加,该结果表明高纤维饮食调节了肠道微生物组的功能。而肠道微生物的种类没有明显变化的可能原因是,在短时间内增加纤维摄入量还不足以增加微生物群的多样性,也许要更长时间的干预才足够完成微生物群的改造,或者需要专门引入能够消耗纤维的微生物。与高纤维饮食组相比,高发酵食品的饮食干预显著增加了微生物群的多样性。综上所述,饮食方式能重塑机体肠道微生物群。
新闻图片4
新闻图片5
 
3. 饮食干预对宿主免疫系统的影响
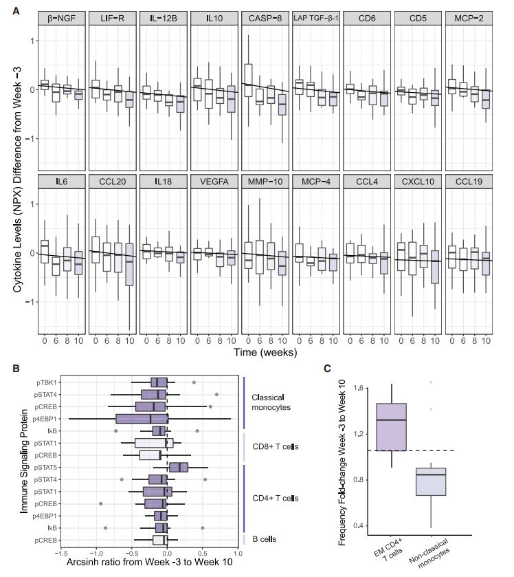
细胞因子水平与炎症相关。分析发现高发酵食品饮食干预引起19种炎症因子的水平下降,包括IL-6、IL-10和IL-12b等,而这些炎症因子在高纤维饮食组并未发现明显差异。与此同时,CyTOF分析结果显示有4种类型的免疫细胞(CD4+ T、CD8+ T、B细胞和单核细胞)在高发酵食品组较少被激活,该结果表明靶向微生物的饮食模式或能改变机体的免疫状态,从而为健康人群降低机体的炎症水平提供了一定的帮助。
新闻图片6
 
血液中的代谢物与宿主的生理过程有关,血清非靶向代谢组学结果显示血清代谢物的变化与炎性细胞因子的变化显著相关,多吃发酵食物让血液中的炎症标志物减少。该结果表明高发酵食品干预会引起机体免疫系统的变化,这一发现将为减轻炎症提供一种可行方案。
新闻图片7

◆ 编者按
饮食调节肠道微生物群,进而影响免疫系统。该研究通过16s、宏基因组、宏蛋白组、质谱流式、代谢组等多维数据确定了两种针对微生物群的饮食干预措施,植物性纤维和发酵食品,如何影响健康成人的人体微生物组和免疫系统。

而在技术选择层面,有两点值得广大肠道微生物科研工作者参考:

(1)该研究中,高纤维饮食组肠道微生物的种类没有明显变化,只是在碳水化合物活性酶(CAZymes)活性水平发生明显变化,进而影响整体代谢和免疫。因此,功能水平的微生物组研究——如宏基因组、宏蛋白质组就显得格外重要。

(2)在肠免疫轴研究中,传统的组学技术手段在系统表征免疫响应时能供提供的信息有限。而单细胞组学,无论是单细胞转录组测序(链接:Cell | 单细胞多组学揭示肠道微生物帮助免疫系统抵抗病毒感染机制)还是上文用到的质谱流式CyTOF,这些技术不仅能表征不同状态下免疫细胞群的组成差异,也可以表征同一类型细胞的基因表达差异,为深入揭示免疫调控机制提供了丰富的信息。

综上,本文研究强调了将饮食干预与深入和纵向的免疫和微生物组分析技术相结合,来提供个体化和全人群的分析;而且发酵食物在对抗工业化社会人群机体中普遍出现的微生物组多样性降低和炎症方面或许非常有价值。

上一篇

DIA项目文章大集合 | 蛋白组学热门研究思路大解密

下一篇

项目文章Cell Research(IF 25.617) | 脂质组学技术助力靶向生物分子药物开发

更多资讯

我的询价